鹤壁水平衡方程式是什么?
水平衡方程式是以水的流向表示流入(输入)和流出(输出)用水单元或系统的水量为基础的。
输入表达式:

输出表达式:

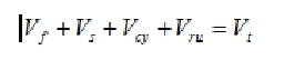
输入输出平衡方程式:

式中:
Vf——新水量,m3/d;
Vcy——输入的循环水量,m3/d;
V'cy——输出的循环水量,m3/d;
Vru——回用水量,m3/d;
Vre——回收水量,m3/d;
Vs——输入的串联水量,m3/d;
V's——输出的串联水量,m3/d;
Vt——用水量,m3/d;
Vco——耗水量,m3/d;
Vd——排水量,m3/d;
Vl——漏失水量,m3/d。
本文鹤壁水平衡方程式是什么?:http://hebi.bdthcl.com/changjianwenti/68.html由保定天澔管道测量公司小编整理发布,欢迎浏览阅读。
免责声明:我公司部分文章信息来源于网络,本网站只负责对文章进行整理、排版、编辑,如本站文章和转稿涉及版权等问题,请作者及时联系本站管理人员,我们会尽快处理。


